会员登录
设为首页
加入收藏
旧版网站
会员中心
|
退出登录
资金余额:{balances} 元
可用{pointName}:{point} {pointUnit}
经验积分:{experience} 分
待阅短信:{message} 条
待签文章:{signinArticle} 篇
登录次数:{loginCount} 次
会员登录
用户名:
密 码:
验证码:
保持登录状态
没有帐号?
点此注册
忘记密码?
网站首页
校园频道
学科频道
资料下载
交流平台
校园文化建设
预决算公开
公告
学校概况
特色教育
校长办公室主页
教务处主页
政教处主页
团委主页
教科室主页
后勤处主页
党建创建工作
系统接口
语文
数学
英语
物理
化学
生物
政治
历史
地理
艺术
体育
信息
综合研究
您现在的位置:
启东市汇龙中学官网
>>
公告
>>
正文内容
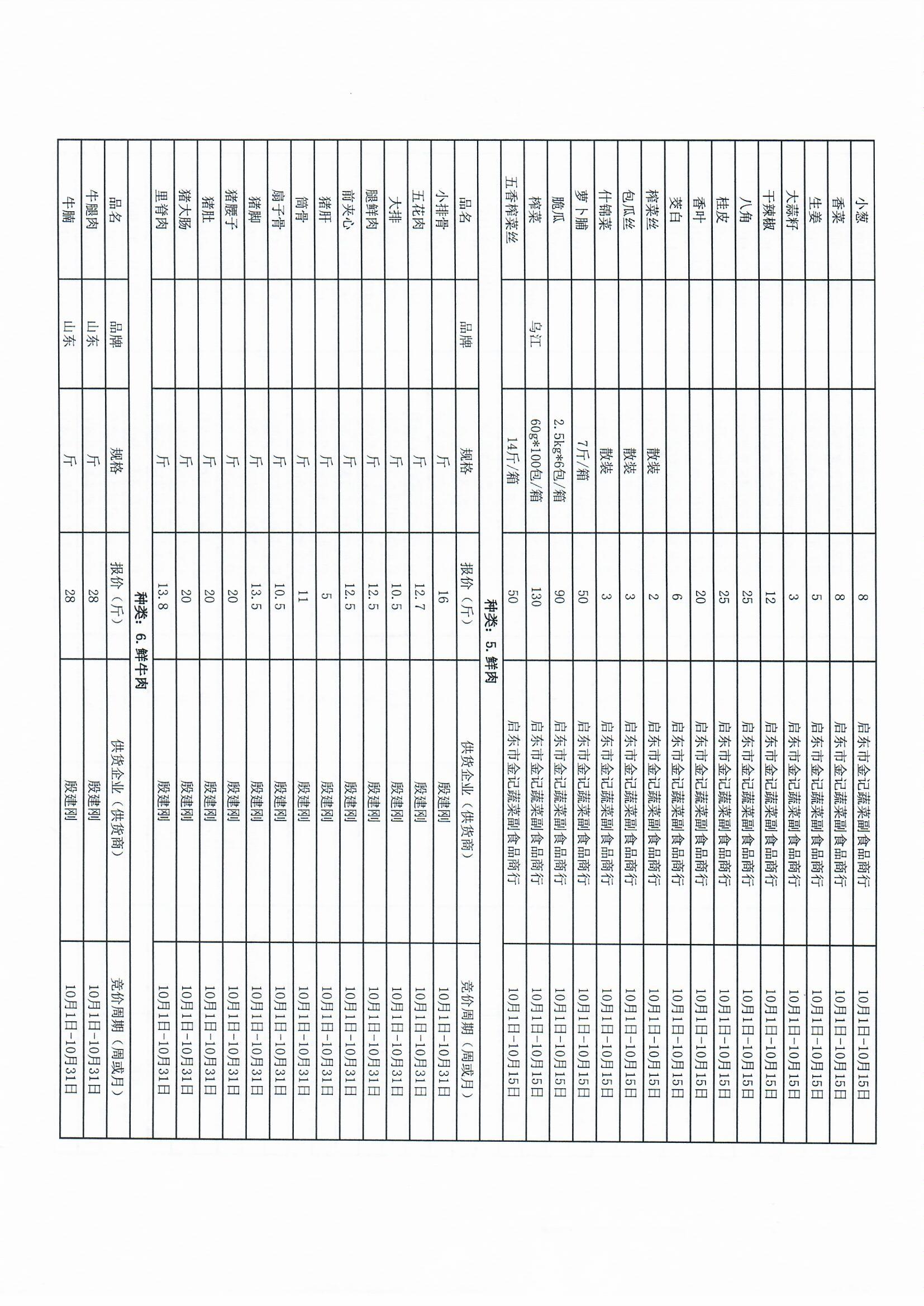
启东市汇龙中学食堂原辅料采购竞价结果公示表(2024年10月)
作者:
来源:
本站原创
发布时间:2024年09月30日 点击数:
上一篇:
汇龙中学食堂2024-2025第一学期菜谱(第5…
下一篇:
汇龙中学食堂2024-2025第一学期菜谱(第7…
|
设为首页
|
加入收藏
|
家校联系
|
苏ICP备06001501号-1
|
网站留言
|
网站地图
版权所有©启东市汇龙中学 设计制作:
阿文